79. Covariate indipendenti dal tempo#
Nell’ambito degli studi sui modelli di crescita lineare, una questione rilevante è capire in che modo le differenze individuali nelle traiettorie di cambiamento siano influenzate da altre variabili. Il presente capitolo si dedica all’integrazione di covariate invarianti nel tempo in questi modelli di crescita.
Le covariate invarianti nel tempo sono quelle variabili che rimangono costanti per ogni individuo durante il periodo di studio. Esempi tipici includono il genere, le condizioni sperimentali, lo stato socio-economico, e altri attributi che non subiscono modifiche nel tempo. In termini di modellazione, queste variabili vengono trattate come fattori indipendenti in un modello di regressione multipla, dove l’intercetta e la pendenza del modello di crescita lineare fungono da variabili dipendenti. Le covariate possono assumere vari formati: possono essere continue (es. età), ordinali (es. livelli di istruzione) o categoriche (es. genere).
Includere covariate invarianti nel tempo permette di esplorare come le differenze individuali nella traiettoria di crescita (sia in termini di intercetta che di pendenza) siano associate a queste variabili. Questo approccio offre la possibilità di indagare le ragioni sottostanti le diverse modalità di cambiamento tra gli individui.
È importante sottolineare che, pur fornendo insights significativi, i risultati ottenuti da questi modelli non implicano relazioni causali. Questi modelli hanno limitazioni simili a quelle dei modelli di regressione standard in termini di inferenza causale.
È cruciale considerare il contesto nel quale le covariate invarianti nel tempo sono state raccolte. Se queste provengono da un contesto sperimentale con assegnazione casuale, le inferenze potrebbero essere più robuste. Tuttavia, nel caso di dati osservazionali, è necessario un’attenta considerazione per evitare interpretazioni errate o eccessivamente assertive riguardo la causalità.
In sintesi, l’integrazione di covariate invarianti nel tempo nei modelli di crescita lineare fornisce una visione più dettagliata delle dinamiche individuali e del modo in cui vari fattori possono influenzare le traiettorie di crescita. Questo approccio arricchisce la comprensione dei fenomeni studiati, pur richiedendo un’interpretazione cauta e informata dei risultati ottenuti.
Per questo esempio considereremo i dati di prestazione matematica dal data set NLSY-CYA Long Data [si veda Grimm et al. [GRE16]]. Iniziamo a leggere i dati.
# set filepath for data file
filepath <- "https://raw.githubusercontent.com/LRI-2/Data/main/GrowthModeling/nlsy_math_long_R.dat"
# read in the text data file using the url() function
dat <- read.table(
file = url(filepath),
na.strings = "."
) # indicates the missing data designator
# copy data with new name
nlsy_math_long <- dat
# Add names the columns of the data set
names(nlsy_math_long) <- c(
"id", "female", "lb_wght",
"anti_k1", "math", "grade",
"occ", "age", "men",
"spring", "anti"
)
# view the first few observations in the data set
head(nlsy_math_long, 10)
| id | female | lb_wght | anti_k1 | math | grade | occ | age | men | spring | anti | |
|---|---|---|---|---|---|---|---|---|---|---|---|
| <int> | <int> | <int> | <int> | <int> | <int> | <int> | <int> | <int> | <int> | <int> | |
| 1 | 201 | 1 | 0 | 0 | 38 | 3 | 2 | 111 | 0 | 1 | 0 |
| 2 | 201 | 1 | 0 | 0 | 55 | 5 | 3 | 135 | 1 | 1 | 0 |
| 3 | 303 | 1 | 0 | 1 | 26 | 2 | 2 | 121 | 0 | 1 | 2 |
| 4 | 303 | 1 | 0 | 1 | 33 | 5 | 3 | 145 | 0 | 1 | 2 |
| 5 | 2702 | 0 | 0 | 0 | 56 | 2 | 2 | 100 | NA | 1 | 0 |
| 6 | 2702 | 0 | 0 | 0 | 58 | 4 | 3 | 125 | NA | 1 | 2 |
| 7 | 2702 | 0 | 0 | 0 | 80 | 8 | 4 | 173 | NA | 1 | 2 |
| 8 | 4303 | 1 | 0 | 0 | 41 | 3 | 2 | 115 | 0 | 0 | 1 |
| 9 | 4303 | 1 | 0 | 0 | 58 | 4 | 3 | 135 | 0 | 1 | 2 |
| 10 | 5002 | 0 | 0 | 4 | 46 | 4 | 2 | 117 | NA | 1 | 4 |
nlsy_math_long |>
ggplot(
aes(grade, math, group = id)
) +
geom_line(alpha = 0.3) + # add individual line with transparency
stat_summary( # add average line
aes(group = 1),
fun = mean,
geom = "line",
linewidth = 1.5,
color = "blue"
) +
labs(x = "Grade at testing", y = "PAT Mathematics")
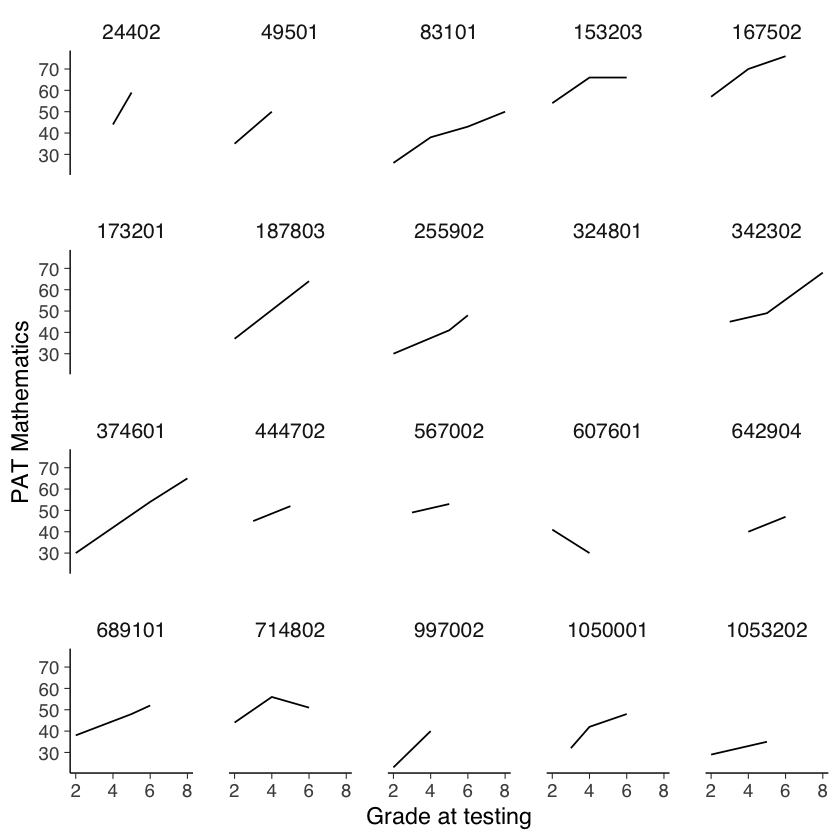
Per ottenere una visione più dettagliata dei cambiamenti a livello individuale, possiamo selezionare casualmente un campione di 20 individui e registrare, per ciascuno di essi, l’evoluzione dei loro punteggi in matematica nel tempo.
# sample 20 ids
people <- unique(nlsy_math_long$id) %>% sample(20)
# do separate graph for each individual
nlsy_math_long %>%
filter(id %in% people) %>% # filter only sampled cases
ggplot(aes(grade, math, group = 1)) +
geom_line() +
facet_wrap(~id) + # a graph for each individual
labs(x = "Grade at testing", y = "PAT Mathematics")
Per semplicità, leggiamo gli stessi dati in formato wide da un file.
# set filepath for data file
filepath <- "https://raw.githubusercontent.com/LRI-2/Data/main/GrowthModeling/nlsy_math_wide_R.dat"
# read in the text data file using the url() function
dat <- read.table(
file = url(filepath),
na.strings = "."
) # indicates the missing data designator
# copy data with new name
nlsy_math_wide <- dat
# Give the variable names
names(nlsy_math_wide) <- c(
"id", "female", "lb_wght", "anti_k1",
"math2", "math3", "math4", "math5", "math6", "math7", "math8",
"age2", "age3", "age4", "age5", "age6", "age7", "age8",
"men2", "men3", "men4", "men5", "men6", "men7", "men8",
"spring2", "spring3", "spring4", "spring5", "spring6", "spring7", "spring8",
"anti2", "anti3", "anti4", "anti5", "anti6", "anti7", "anti8"
)
# view the first few observations (and columns) in the data set
head(nlsy_math_wide[, 1:11], 10)
| id | female | lb_wght | anti_k1 | math2 | math3 | math4 | math5 | math6 | math7 | math8 | |
|---|---|---|---|---|---|---|---|---|---|---|---|
| <int> | <int> | <int> | <int> | <int> | <int> | <int> | <int> | <int> | <int> | <int> | |
| 1 | 201 | 1 | 0 | 0 | NA | 38 | NA | 55 | NA | NA | NA |
| 2 | 303 | 1 | 0 | 1 | 26 | NA | NA | 33 | NA | NA | NA |
| 3 | 2702 | 0 | 0 | 0 | 56 | NA | 58 | NA | NA | NA | 80 |
| 4 | 4303 | 1 | 0 | 0 | NA | 41 | 58 | NA | NA | NA | NA |
| 5 | 5002 | 0 | 0 | 4 | NA | NA | 46 | NA | 54 | NA | 66 |
| 6 | 5005 | 1 | 0 | 0 | 35 | NA | 50 | NA | 60 | NA | 59 |
| 7 | 5701 | 0 | 0 | 2 | NA | 62 | 61 | NA | NA | NA | NA |
| 8 | 6102 | 0 | 0 | 0 | NA | NA | 55 | 67 | NA | 81 | NA |
| 9 | 6801 | 1 | 0 | 0 | NA | 54 | NA | 62 | NA | 66 | NA |
| 10 | 6802 | 0 | 0 | 0 | NA | 55 | NA | 66 | NA | 68 | NA |
Specifichiamo il modello SEM (si noti che, anche in questo caso, la scrittura del modello può essere semplificata usando la funzione growth).
I covarianti invarianti nel tempo valutati qui includono lb_wght, una variabile dicotomica codificata come dummy che indica se il bambino aveva un peso alla nascita normale (codificato 0) o basso (codificato 1), e anti_k1, una variabile continua con valori che variano da 0 a 8 indicando il grado in cui il bambino manifestava comportamenti antisociali all’asilo o in prima elementare (punteggi più alti indicano un comportamento più antisociale).
#writing out linear growth model with tic in full SEM way
lg_math_tic_lavaan_model <- '
#latent variable definitions
#intercept
eta1 =~ 1*math2+
1*math3+
1*math4+
1*math5+
1*math6+
1*math7+
1*math8
#linear slope
eta2 =~ 0*math2+
1*math3+
2*math4+
3*math5+
4*math6+
5*math7+
6*math8
#factor variances
eta1 ~~ eta1
eta2 ~~ eta2
#factor covariance
eta1 ~~ eta2
#manifest variances (set equal by naming theta)
math2 ~~ theta*math2
math3 ~~ theta*math3
math4 ~~ theta*math4
math5 ~~ theta*math5
math6 ~~ theta*math6
math7 ~~ theta*math7
math8 ~~ theta*math8
#latent means (freely estimated)
eta1 ~ 1
eta2 ~ 1
#manifest means (fixed to zero)
math2 ~ 0*1
math3 ~ 0*1
math4 ~ 0*1
math5 ~ 0*1
math6 ~ 0*1
math7 ~ 0*1
math8 ~ 0*1
#Time invariant covaraite
#regression of time-invariant covariate on intercept and slope factors
eta1 ~ lb_wght + anti_k1
eta2 ~ lb_wght + anti_k1
#variance of TIV covariates
lb_wght ~~ lb_wght
anti_k1 ~~ anti_k1
#covariance of TIV covariates
lb_wght ~~ anti_k1
#means of TIV covariates (freely estimated)
lb_wght ~ 1
anti_k1 ~ 1
' #end of model definition
Nel modello di crescita lineare qui definito, la parte delle intercette riguarda la definizione di una variabile latente che rappresenta il punto di partenza (intercetta) delle misurazioni ripetute nel tempo. L’intercetta, in questo contesto, è essenzialmente il livello iniziale da cui parte la traiettoria di crescita individuale.
79.1. Definizione delle Variabili Latenti:#
Intercept (
eta1):eta1è la variabile latente che rappresenta l’intercetta del modello di crescita lineare.La formula
eta1 =~ 1*math2 + 1*math3 + 1*math4 + 1*math5 + 1*math6 + 1*math7 + 1*math8significa cheeta1è definita come un fattore che ha un carico fattoriale di1per ciascuna delle misure temporali (math2amath8). Questo implica che l’intercetta è costante attraverso tutte le misure temporali, rappresentando il livello iniziale comune per tutte le osservazioni.
79.2. Vincoli sui Carichi Fattoriali:#
I carichi fattoriali fissati a
1per l’intercetta indicano che il cambiamento nel punteggio matematico da un’osservazione all’altra è attribuito esclusivamente alla pendenza (slope) e non all’intercetta. L’intercetta rimane costante come il valore di partenza.
79.3. Scopo di Questi Vincoli:#
Controllo delle Stime: Fissare i carichi dell’intercetta permette di separare l’effetto dell’intercetta (punto di partenza) dall’effetto della pendenza (cambiamento nel tempo). Questo è cruciale in studi longitudinali dove si desidera distinguere tra il livello iniziale e la velocità di crescita.
Identificabilità del Modello: In modelli di equazioni strutturali, particolarmente in quelli con variabili latenti, è necessario imporre alcuni vincoli per rendere il modello statisticamente identificabile. Fissare i carichi fattoriali dell’intercetta a
1è un modo comune per assicurare che il modello abbia una soluzione unica.
Il vincolo sui carichi fattoriali dell’intercetta nel tuo modello di crescita lineare assicura che l’intercetta rappresenti un effetto costante attraverso tutte le misurazioni, focalizzando l’analisi sulla variazione attribuibile alla pendenza e altri covariati nel tempo. Questo rende più chiara l’interpretazione dei risultati e migliora la precisione delle stime relative agli effetti longitudinali studiati.
Adattiamo il modello ai dati.
lg_math_tic_lavaan_fit <- sem(lg_math_tic_lavaan_model,
data = nlsy_math_wide,
meanstructure = TRUE,
estimator = "ML",
missing = "fiml"
)
Warning message in lav_data_full(data = data, group = group, cluster = cluster, :
“lavaan WARNING: some observed variances are (at least) a factor 1000 times larger than others; use varTable(fit) to investigate”
Warning message in lav_data_full(data = data, group = group, cluster = cluster, :
“lavaan WARNING:
due to missing values, some pairwise combinations have less than
10% coverage; use lavInspect(fit, "coverage") to investigate.”
Warning message in lav_mvnorm_missing_h1_estimate_moments(Y = X[[g]], wt = WT[[g]], :
“lavaan WARNING:
Maximum number of iterations reached when computing the sample
moments using EM; use the em.h1.iter.max= argument to increase the
number of iterations”
Esaminiamo la soluzione ottenuta.
summary(lg_math_tic_lavaan_fit, fit.measures = TRUE) |>
print()
lavaan 0.6.17 ended normally after 107 iterations
Estimator ML
Optimization method NLMINB
Number of model parameters 21
Number of equality constraints 6
Number of observations 933
Number of missing patterns 61
Model Test User Model:
Test statistic 220.221
Degrees of freedom 39
P-value (Chi-square) 0.000
Model Test Baseline Model:
Test statistic 892.616
Degrees of freedom 36
P-value 0.000
User Model versus Baseline Model:
Comparative Fit Index (CFI) 0.788
Tucker-Lewis Index (TLI) 0.805
Robust Comparative Fit Index (CFI) 0.920
Robust Tucker-Lewis Index (TLI) 0.926
Loglikelihood and Information Criteria:
Loglikelihood user model (H0) -9785.085
Loglikelihood unrestricted model (H1) -9674.975
Akaike (AIC) 19600.171
Bayesian (BIC) 19672.747
Sample-size adjusted Bayesian (SABIC) 19625.108
Root Mean Square Error of Approximation:
RMSEA 0.071
90 Percent confidence interval - lower 0.062
90 Percent confidence interval - upper 0.080
P-value H_0: RMSEA <= 0.050 0.000
P-value H_0: RMSEA >= 0.080 0.046
Robust RMSEA 0.100
90 Percent confidence interval - lower 0.000
90 Percent confidence interval - upper 0.183
P-value H_0: Robust RMSEA <= 0.050 0.218
P-value H_0: Robust RMSEA >= 0.080 0.654
Standardized Root Mean Square Residual:
SRMR 0.097
Parameter Estimates:
Standard errors Standard
Information Observed
Observed information based on Hessian
Latent Variables:
Estimate Std.Err z-value P(>|z|)
eta1 =~
math2 1.000
math3 1.000
math4 1.000
math5 1.000
math6 1.000
math7 1.000
math8 1.000
eta2 =~
math2 0.000
math3 1.000
math4 2.000
math5 3.000
math6 4.000
math7 5.000
math8 6.000
Regressions:
Estimate Std.Err z-value P(>|z|)
eta1 ~
lb_wght -2.716 1.294 -2.099 0.036
anti_k1 -0.551 0.232 -2.369 0.018
eta2 ~
lb_wght 0.625 0.333 1.873 0.061
anti_k1 -0.019 0.059 -0.327 0.743
Covariances:
Estimate Std.Err z-value P(>|z|)
.eta1 ~~
.eta2 -0.078 1.145 -0.068 0.945
lb_wght ~~
anti_k1 0.007 0.014 0.548 0.584
Intercepts:
Estimate Std.Err z-value P(>|z|)
.eta1 36.290 0.497 73.052 0.000
.eta2 4.315 0.122 35.420 0.000
.math2 0.000
.math3 0.000
.math4 0.000
.math5 0.000
.math6 0.000
.math7 0.000
.math8 0.000
lb_wght 0.080 0.009 9.031 0.000
anti_k1 1.454 0.050 29.216 0.000
Variances:
Estimate Std.Err z-value P(>|z|)
.eta1 63.064 5.609 11.242 0.000
.eta2 0.713 0.326 2.185 0.029
.math2 (thet) 36.257 1.868 19.406 0.000
.math3 (thet) 36.257 1.868 19.406 0.000
.math4 (thet) 36.257 1.868 19.406 0.000
.math5 (thet) 36.257 1.868 19.406 0.000
.math6 (thet) 36.257 1.868 19.406 0.000
.math7 (thet) 36.257 1.868 19.406 0.000
.math8 (thet) 36.257 1.868 19.406 0.000
lb_wght 0.074 0.003 21.599 0.000
anti_k1 2.312 0.107 21.599 0.000
Interpretazione dei risultati per eta1 (Intercetta).
lb_wght: L’effetto stimato di
lb_wghtsull’intercetta (eta1) è di -2.716 con uno standard error di 1.294. Questo valore di -2.716 indica che avere un peso alla nascita basso (codificato come 1) è associato ad una riduzione media di 2.716 unità nel valore iniziale dieta1, rispetto a un peso alla nascita normale (codificato come 0). Questo risultato è degno di nota, come indicato dal valore di P (0.036), che è inferiore a 0.05.anti_k1: Per
anti_k1, l’effetto stimato sull’intercetta è di -0.551 con uno standard error di 0.232. Questo suggerisce che per ogni unità di aumento nel punteggio di comportamento antisociale (anti_k1), il valore iniziale dieta1diminuisce in media di 0.551 unità. Anche questo risultato è statisticamente significativo, con un valore di P di 0.018.
Interpretazione dei risultati per eta2 (Pendenza).
lb_wght: Per la pendenza (eta2), l’effetto stimato di
lb_wghtè di 0.625 con uno standard error di 0.333. Ciò indica che avere un peso alla nascita basso è associato ad un aumento medio di 0.625 unità nella pendenza dieta2, rispetto a un peso normale alla nascita. Tuttavia, questo risultato non è statisticamente significativo al livello del 5%, dato che il valore di P è 0.061, che è leggermente superiore a 0.05.anti_k1: L’effetto stimato di
anti_k1sulla pendenza è molto piccolo (-0.019) e non è statisticamente significativo (valore di P = 0.743), suggerendo che non c’è una relazione chiara tra il comportamento antisociale in età precoce e il cambiamento nel tempo dieta2.
In sintesi, il peso alla nascita basso e i comportamenti antisociali sembrano influenzare negativamente il valore iniziale (intercetta) del costrutto misurato. Il peso alla nascita e i comportamenti antisociali non sembrano avere un impatto robusto sulla pendenza, ovvero sul tasso di cambiamento del costrutto misurato.
Creiamo un diagramma di percorso.
lg_math_tic_lavaan_fit |>
semPaths(
style = "lisrel",
whatLabels = "std", edge.label.cex = .6,
label.prop = 0.9, edge.label.color = "black", rotation = 4,
equalizeManifests = FALSE, optimizeLatRes = TRUE, node.width = 1.5,
edge.width = 0.5, shapeMan = "rectangle", shapeLat = "ellipse",
shapeInt = "triangle", sizeMan = 4, sizeInt = 2, sizeLat = 4,
curve = 2, unCol = "#070b8c"
)
79.4. Valutare il contributo delle covariate#
Una questione frequente nell’analisi delle associazioni tra covariate invarianti nel tempo e le traiettorie di crescita individuali riguarda l’utilità dell’inclusione di tali covariate nei modelli. Nel contesto della modellazione multilivello, è possibile confrontare direttamente i valori del log-likelihood negativo (-2LL) dei modelli che includono o escludono le covariate invarianti nel tempo. Questo confronto è fattibile solo se tutti i partecipanti sono inclusi nell’analisi, senza esclusioni dovute a dati mancanti sulle covariate invarianti nel tempo. Tale confronto fornisce un metodo valido per valutare l’adeguatezza relativa dei modelli. In particolare, possiamo esaminare la differenza tra i valori di -2LL in relazione alla differenza nel numero di parametri stimati, ovvero la differenza nei gradi di libertà del modello.
#writing out linear growth model with tic in full SEM way
lg_math_ticZERO_lavaan_model <- '
#latent variable definitions
#intercept
eta1 =~ 1*math2+
1*math3+
1*math4+
1*math5+
1*math6+
1*math7+
1*math8
#linear slope
eta2 =~ 0*math2+
1*math3+
2*math4+
3*math5+
4*math6+
5*math7+
6*math8
#factor variances
eta1 ~~ eta1
eta2 ~~ eta2
#factor covariance
eta1 ~~ eta2
#manifest variances (set equal by naming theta)
math2 ~~ theta*math2
math3 ~~ theta*math3
math4 ~~ theta*math4
math5 ~~ theta*math5
math6 ~~ theta*math6
math7 ~~ theta*math7
math8 ~~ theta*math8
#latent means (freely estimated)
eta1 ~ 1
eta2 ~ 1
#manifest means (fixed to zero)
math2 ~ 0*1
math3 ~ 0*1
math4 ~ 0*1
math5 ~ 0*1
math6 ~ 0*1
math7 ~ 0*1
math8 ~ 0*1
#Time invariant covaraite
#regression of time-invariant covariate on intercept and slope factors
#FIXED to 0
eta1 ~ 0*lb_wght + 0*anti_k1
eta2 ~ 0*lb_wght + 0*anti_k1
#variance of TIV covariates
lb_wght ~~ lb_wght
anti_k1 ~~ anti_k1
#covariance of TIV covaraites
lb_wght ~~ anti_k1
#means of TIV covariates (freely estimated)
lb_wght ~ 1
anti_k1 ~ 1
' #end of model definition
Adattiamo il modello ai dati.
lg_math_ticZERO_lavaan_fit <- sem(lg_math_ticZERO_lavaan_model,
data = nlsy_math_wide,
meanstructure = TRUE,
estimator = "ML",
missing = "fiml"
)
Warning message in lav_data_full(data = data, group = group, cluster = cluster, :
“lavaan WARNING: some observed variances are (at least) a factor 1000 times larger than others; use varTable(fit) to investigate”
Warning message in lav_data_full(data = data, group = group, cluster = cluster, :
“lavaan WARNING:
due to missing values, some pairwise combinations have less than
10% coverage; use lavInspect(fit, "coverage") to investigate.”
Warning message in lav_mvnorm_missing_h1_estimate_moments(Y = X[[g]], wt = WT[[g]], :
“lavaan WARNING:
Maximum number of iterations reached when computing the sample
moments using EM; use the em.h1.iter.max= argument to increase the
number of iterations”
Esaminiamo il risultato ottenuto.
summary(lg_math_ticZERO_lavaan_fit, fit.measures = TRUE) |>
print()
lavaan 0.6.17 ended normally after 92 iterations
Estimator ML
Optimization method NLMINB
Number of model parameters 17
Number of equality constraints 6
Number of observations 933
Number of missing patterns 61
Model Test User Model:
Test statistic 234.467
Degrees of freedom 43
P-value (Chi-square) 0.000
Model Test Baseline Model:
Test statistic 892.616
Degrees of freedom 36
P-value 0.000
User Model versus Baseline Model:
Comparative Fit Index (CFI) 0.776
Tucker-Lewis Index (TLI) 0.813
Robust Comparative Fit Index (CFI) 0.917
Robust Tucker-Lewis Index (TLI) 0.931
Loglikelihood and Information Criteria:
Loglikelihood user model (H0) -9792.208
Loglikelihood unrestricted model (H1) -9674.975
Akaike (AIC) 19606.416
Bayesian (BIC) 19659.638
Sample-size adjusted Bayesian (SABIC) 19624.703
Root Mean Square Error of Approximation:
RMSEA 0.069
90 Percent confidence interval - lower 0.061
90 Percent confidence interval - upper 0.078
P-value H_0: RMSEA <= 0.050 0.000
P-value H_0: RMSEA >= 0.080 0.020
Robust RMSEA 0.097
90 Percent confidence interval - lower 0.000
90 Percent confidence interval - upper 0.173
P-value H_0: Robust RMSEA <= 0.050 0.208
P-value H_0: Robust RMSEA >= 0.080 0.646
Standardized Root Mean Square Residual:
SRMR 0.103
Parameter Estimates:
Standard errors Standard
Information Observed
Observed information based on Hessian
Latent Variables:
Estimate Std.Err z-value P(>|z|)
eta1 =~
math2 1.000
math3 1.000
math4 1.000
math5 1.000
math6 1.000
math7 1.000
math8 1.000
eta2 =~
math2 0.000
math3 1.000
math4 2.000
math5 3.000
math6 4.000
math7 5.000
math8 6.000
Regressions:
Estimate Std.Err z-value P(>|z|)
eta1 ~
lb_wght 0.000
anti_k1 0.000
eta2 ~
lb_wght 0.000
anti_k1 0.000
Covariances:
Estimate Std.Err z-value P(>|z|)
.eta1 ~~
.eta2 -0.181 1.150 -0.158 0.875
lb_wght ~~
anti_k1 0.007 0.014 0.548 0.584
Intercepts:
Estimate Std.Err z-value P(>|z|)
.eta1 35.267 0.355 99.229 0.000
.eta2 4.339 0.088 49.136 0.000
.math2 0.000
.math3 0.000
.math4 0.000
.math5 0.000
.math6 0.000
.math7 0.000
.math8 0.000
lb_wght 0.080 0.009 9.031 0.000
anti_k1 1.454 0.050 29.216 0.000
Variances:
Estimate Std.Err z-value P(>|z|)
.eta1 64.562 5.659 11.408 0.000
.eta2 0.733 0.327 2.238 0.025
.math2 (thet) 36.230 1.867 19.410 0.000
.math3 (thet) 36.230 1.867 19.410 0.000
.math4 (thet) 36.230 1.867 19.410 0.000
.math5 (thet) 36.230 1.867 19.410 0.000
.math6 (thet) 36.230 1.867 19.410 0.000
.math7 (thet) 36.230 1.867 19.410 0.000
.math8 (thet) 36.230 1.867 19.410 0.000
lb_wght 0.074 0.003 21.599 0.000
anti_k1 2.312 0.107 21.599 0.000
Generiamo il diagramma di percorso.
lg_math_ticZERO_lavaan_fit |>
semPaths(
style = "lisrel",
whatLabels = "std", edge.label.cex = .6,
label.prop = 0.9, edge.label.color = "black", rotation = 4,
equalizeManifests = FALSE, optimizeLatRes = TRUE, node.width = 1.5,
edge.width = 0.5, shapeMan = "rectangle", shapeLat = "ellipse",
shapeInt = "triangle", sizeMan = 4, sizeInt = 2, sizeLat = 4,
curve = 2, unCol = "#070b8c"
)
Eseguiamo il confronto tra i due modelli mediante il test del rapporto tra verosimiglianze.
lavTestLRT(lg_math_tic_lavaan_fit, lg_math_ticZERO_lavaan_fit) |>
print()
Chi-Squared Difference Test
Df AIC BIC Chisq Chisq diff RMSEA Df diff
lg_math_tic_lavaan_fit 39 19600 19673 220.22
lg_math_ticZERO_lavaan_fit 43 19606 19660 234.47 14.245 0.052395 4
Pr(>Chisq)
lg_math_tic_lavaan_fit
lg_math_ticZERO_lavaan_fit 0.006552 **
---
Signif. codes: 0 ‘***’ 0.001 ‘**’ 0.01 ‘*’ 0.05 ‘.’ 0.1 ‘ ’ 1
Nel nostro esempio, il test del rapport tra verosimiglianze produce un risultato di 14.245 con 4 gradi di libertà. Quindi, il miglioramento dell’adattamento dipendente dall’aggiunta delle covariate è degno di nota (χ2(4) = 14.24, p < .001), indicando che basso peso alla nascita e comportamenti antisociali sono predittori utili.
Nell’ambito delle equazioni strutturali, si valuta tipicamente l’adattamento globale del modello attraverso indici come RMSEA, CFI e TLI. Tuttavia, l’inclusione di covariate invarianti nel tempo raramente altera significativamente questi indici. Nonostante ciò, l’adattamento relativo tra i modelli può fornire informazioni preziose, simili a quelle ottenibili nella modellazione multilivello. Come accennato, le differenze nei -2LL (o nei valori di χ2) possono essere utilizzate per verificare se l’aggiunta di covariate invarianti nel tempo migliora significativamente l’adattamento del modello. È importante notare che, nel contesto delle equazioni strutturali, il modello di confronto (o baseline) non è semplicemente privo di covariate invarianti nel tempo, ma piuttosto include tali covariate con i loro effetti su intercetta e pendenza vincolati a zero.
print(fitMeasures(lg_math_tic_lavaan_fit, c("chisq", "df", "pvalue", "cfi", "rmsea")))
chisq df pvalue cfi rmsea
220.221 39.000 0.000 0.788 0.071
79.5. Confronto con il modello misto#
Eseguiamo ora l’analisi statistica utilizzando un modello misto con intercetta e pendenza casuale. Confronteremo un modello ridotto, che include solo l’effetto del tempo, con un modello completo che include le covariate esaminate in precedenza. Il modello completo include gli effetti principali delle covariate e l’interazione tra le covariate e il tempo.
Adattiamo il modello “completo”.
nlsy_math_long$grade_c2 <- nlsy_math_long$grade-2
fit2_lmer <- lmer(
math ~ 1 + grade_c2 + lb_wght + anti_k1 + I(grade_c2 * lb_wght) + I(grade_c2 * anti_k1) +
(1 + grade_c2 | id),
data = nlsy_math_long,
REML = FALSE,
na.action = na.exclude
)
Warning message in checkConv(attr(opt, "derivs"), opt$par, ctrl = control$checkConv, :
“Model failed to converge with max|grad| = 0.0057725 (tol = 0.002, component 1)”
Esaminiamo i risultati ottenuti.
summary(fit2_lmer)
Linear mixed model fit by maximum likelihood ['lmerMod']
Formula: math ~ 1 + grade_c2 + lb_wght + anti_k1 + I(grade_c2 * lb_wght) +
I(grade_c2 * anti_k1) + (1 + grade_c2 | id)
Data: nlsy_math_long
AIC BIC logLik deviance df.resid
15943.1 16000.2 -7961.6 15923.1 2211
Scaled residuals:
Min 1Q Median 3Q Max
-3.07986 -0.52517 -0.00867 0.53079 2.53455
Random effects:
Groups Name Variance Std.Dev. Corr
id (Intercept) 63.0653 7.9414
grade_c2 0.7141 0.8451 -0.01
Residual 36.2543 6.0212
Number of obs: 2221, groups: id, 932
Fixed effects:
Estimate Std. Error t value
(Intercept) 36.28983 0.49630 73.120
grade_c2 4.31521 0.12060 35.782
lb_wght -2.71621 1.29359 -2.100
anti_k1 -0.55087 0.23246 -2.370
I(grade_c2 * lb_wght) 0.62463 0.33314 1.875
I(grade_c2 * anti_k1) -0.01930 0.05886 -0.328
Correlation of Fixed Effects:
(Intr) grd_c2 lb_wgh ant_k1 I(_2*l
grade_c2 -0.529
lb_wght -0.194 0.096
anti_k1 -0.671 0.358 -0.025
I(grd_2*l_) 0.091 -0.168 -0.532 0.026
I(gr_2*a_1) 0.343 -0.660 0.026 -0.529 -0.055
optimizer (nloptwrap) convergence code: 0 (OK)
Model failed to converge with max|grad| = 0.0057725 (tol = 0.002, component 1)
Adattiamo un modello misto vincolato senza covariate, utilizzando un modello con intercetta e pendenza casuale.
fit3_lmer <- lmer(
math ~ 1 + grade_c2 + (1 + grade_c2 | id),
data = nlsy_math_long,
REML = FALSE,
na.action = na.exclude
)
Confrontiamo i due modelli utilizzando il test del rapporto di verosimiglianza.
anova(fit2_lmer, fit3_lmer) |>
print()
Data: nlsy_math_long
Models:
fit3_lmer: math ~ 1 + grade_c2 + (1 + grade_c2 | id)
fit2_lmer: math ~ 1 + grade_c2 + lb_wght + anti_k1 + I(grade_c2 * lb_wght) + I(grade_c2 * anti_k1) + (1 + grade_c2 | id)
npar AIC BIC logLik deviance Chisq Df Pr(>Chisq)
fit3_lmer 6 15949 15984 -7968.7 15937
fit2_lmer 10 15943 16000 -7961.6 15923 14.245 4 0.006552 **
---
Signif. codes: 0 ‘***’ 0.001 ‘**’ 0.01 ‘*’ 0.05 ‘.’ 0.1 ‘ ’ 1
La differenza nei -2LL tra i due modelli analizzati è di 14.25, con una differenza di 4 gradi di libertà, risultando in un valore di χ2(4) = 14.25 e un p-value inferiore a .001. Questa differenza è coerente con quella osservata nei precedenti confronti tra modelli nel contesto della modellazione di crescita latente (LGM). Di conseguenza, arriviamo alla stessa conclusione sull’importanza del basso peso alla nascita e dei comportamenti antisociali, sia nel framework di modellazione multilivello che nell’analisi delle differenze nelle traiettorie latenti matematiche nei bambini.
79.6. Considerazioni Importanti#
La maggior parte delle ricerche nel modello di crescita cerca di comprendere come le caratteristiche interpersonali (ovvero, i covarianti invarianti nel tempo) siano associate a differenze interpersonali nei cambiamenti intrapersonali catturati dai dati longitudinali. Nel nostro esempio illustrativo, ci siamo limitati a due covarianti invarianti nel tempo per semplicità. Tuttavia, è possibile includere contemporaneamente nel modello diversi covarianti invarianti nel tempo e le interazioni tra di essi. Come in tutte le analisi di regressione, è essenziale un’adeguata scala e centratura dei covarianti invarianti nel tempo per ottenere stime di parametri interpretabili. Tutte le pratiche comuni nella regressione, come l’esame delle interazioni (moderazione) tra i covarianti invarianti nel tempo, relazioni non lineari e test di mediazione, sono possibili e implementate in modi tipici. Ad esempio, è possibile calcolare variabili prodotto, includerle nel dataset e inserirle come predittori aggiuntivi per esaminare effetti interattivi. Inoltre, gli effetti dei covarianti invarianti nel tempo possono essere aggiunti al modello in modo gerarchico per determinare se il loro inserimento ha migliorato in maniera rilevante l’adattamento del modello (una procedura simile all’esame del cambiamento in R^2).
79.6.1. Varianza Spiegata#
Nell’ambito della ricerca sulle covariate invarianti nel tempo, un aspetto cruciale è determinare quanto della varianza nelle intercette e nelle pendenze sia spiegata da queste covariate. In altre parole, si cerca di quantificare quale percentuale delle differenze interpersonali nelle intercette e pendenze sia attribuibile alle covariate invarianti nel tempo. Sia nei framework di modellazione multilivello che nelle equazioni strutturali, è possibile confrontare le stime di varianza per intercette e pendenze ottenute da modelli con e senza le covariate invarianti nel tempo.
Nel nostro esempio, la varianza dell’intercetta stimata era di 64.562 nel modello di crescita lineare senza covariate, e si riduceva a 63.064 quando il basso peso alla nascita e i comportamenti antisociali erano inclusi come covariate. La differenza di varianza stimata è di 1.498. Convertendo questa differenza in una proporzione della varianza originale, troviamo che le covariate invarianti nel tempo spiegano il 2.3% (1.498/64.562) delle differenze interpersonali nell’intercetta. Calcoli simili per la pendenza indicano che queste covariate spiegano il 2.7% della varianza. Questi risultati suggeriscono che la quota di varianza delle differenze individuali nelle variabili latenti delle intercette e delle pendenze delle traiettorie di sviluppo latente delle abilità matematiche, attribuibili al basso peso alla nascita e ai comportamenti antisociali, è relativamente modesta.
79.6.2. Coefficienti Standardizzati#
Nel campo della ricerca, oltre all’analisi della varianza spiegata, è spesso utile calcolare i coefficienti standardizzati. Questi coefficienti forniscono una misura dell’importanza relativa di ciascun predittore, agendo come indicatori della grandezza dell’effetto. I coefficienti di regressione di secondo livello, che legano i covarianti invarianti nel tempo all’intercetta e alla pendenza, sono inizialmente calcolati in forma non standardizzata. Per ottenere i coefficienti standardizzati, è necessario moltiplicare il coefficiente non standardizzato per il rapporto tra la deviazione standard del predittore e quella del risultato.
La formula generale per calcolare un coefficiente standardizzato è la seguente:
dove:
\(\beta^*\) è il coefficiente standardizzato.
\(b\) è il coefficiente non standardizzato.
\(\sigma_x\) è la deviazione standard del predittore, come ad esempio i comportamenti antisociali.
\(\sigma_y\) è la deviazione standard del risultato, come l’intercetta.
Applicando questa formula, il coefficiente standardizzato per l’effetto dei comportamenti antisociali sull’intercetta è dato da:
Qui, \(\sigma_{\text{anti\_k1}}\) rappresenta la deviazione standard dei comportamenti antisociali, \(\sigma_{\text{X1}}\) è la deviazione standard di un altro predittore, se presente, e \(\sigma_{\text{X1,anti\_k1}}\) è la covarianza tra i due predittori.
Semplificando i calcoli, si ottiene:
Quindi, l’effetto dei comportamenti antisociali sui punteggi di matematica a livello di seconda elementare risulta essere di piccola entità.
79.6.3. Considerazioni Conclusive#
In questo capitolo, abbiamo esaminato il modello di crescita lineare con covarianti invarianti nel tempo, un modello spesso utilizzato per esaminare le differenze individuali nella crescita e nel cambiamento. L’uso di questo modello implica una serie di assunzioni. Innanzitutto, il modello presume l’invarianza della struttura del cambiamento per tutte le persone. Ciò significa che si assume che tutti i bambini, indipendentemente dai loro punteggi sui covarianti invarianti nel tempo, seguano una traiettoria di crescita lineare. Inoltre, abbiamo ipotizzato che la grandezza della varianza residua nell’intercetta e nella pendenza, così come la covarianza residua tra l’intercetta e la pendenza, siano le stesse per i bambini con valori diversi sui covarianti invarianti nel tempo.
Assumiamo anche che la varianza residua dei punteggi osservati sia equivalente per tutti i bambini. In altre parole, indipendentemente dai valori dei covarianti invarianti nel tempo, l’inadeguatezza del modello lineare è identica. Nel nostro esempio, abbiamo ipotizzato che la grandezza delle fluttuazioni annuali nelle prestazioni matematiche dei bambini con livelli inferiori o superiori di comportamento antisociale fosse equivalente. Dato che queste assunzioni potrebbero essere vere o meno, esse dovrebbero essere attentamente considerate prima di intraprendere tali analisi.
Nel prossimo capitolo, discuteremo i modelli di crescita per gruppi multipli che facilitano un esame approfondito di queste assunzioni per determinati tipi di covarianti invarianti nel tempo, in particolare quelli che sono variabili categoriche, ordinali o variabili continue che sono state categorizzate (ad esempio, tramite uno split mediano). Questo approccio permette una verifica più accurata e specifica delle ipotesi del modello in contesti diversi e con differenti tipologie di dati.



