72. Considerazioni Preliminari#
In questo capitolo esamineremo alcune questioni pratiche e preliminari relative all’organizzazione di dati che provengono da studi longitudinali
72.1. Strutture dei dati#
Tradizionalmente, gli studi longitudinali venivano condotti con un numero relativamente basso di valutazioni ripetute (meno di 8) e un numero elevato di individui (più di 200). Tuttavia, i progressi nelle teorie statistica, che includono l’utilizzo di modelli non lineari, e nella tecnologia di raccolta dati, come i sondaggi basati sul web e gli smartphone, hanno notevolmente ampliato le possibilità di raccogliere e analizzare dati longitudinali. In particolare, Grimm et al. [GRE16] hanno discusso l’applicazione di modelli di crescita latente a dati longitudinali di grandi dimensioni, comprendenti fino a 50,000 individui e 1,000 valutazioni ripetute.
72.1.1. Formato Long e Wide#
I dati longitudinali tipicamente si presentano in due forme: long e wide. Nel formato long, la descrizione del tempo è sulle righe; nel formato wide le variabili relative ad ogni occasione temporale sono organizzate in colonne. È possibile trasformere i dati dal formato long in formato wide e viceversa usando le funzioni R pivot_wider() e pivot_longer(). La sintassi è spiegata nella pagina web tidyr.
Per fare un esempio, esaminiamo il cambiamento nel rendimento in matematica dei bambini durante la scuola elementare e media utilizzando il set di dati NLSY-CYA. Questi dati sono stati analizzati da [GRE16] e possono essere utilizzati per illustrare i concetti relativi alle analisi di cambiamento longitudinale.
Iniziamo a leggere i dati in R.
# set filepath for data file
filepath <- "https://raw.githubusercontent.com/LRI-2/Data/main/GrowthModeling/nlsy_math_long_R.dat"
# read in the text data file using the url() function
dat <- read.table(
file = url(filepath),
na.strings = "."
) # indicates the missing data designator
# copy data with new name
nlsy_math_long <- dat
# Add names the columns of the data set
names(nlsy_math_long) <- c(
"id", "female", "lb_wght",
"anti_k1", "math", "grade",
"occ", "age", "men",
"spring", "anti"
)
# view the first few observations in the data set
head(nlsy_math_long) |>
print()
id female lb_wght anti_k1 math grade occ age men spring anti
1 201 1 0 0 38 3 2 111 0 1 0
2 201 1 0 0 55 5 3 135 1 1 0
3 303 1 0 1 26 2 2 121 0 1 2
4 303 1 0 1 33 5 3 145 0 1 2
5 2702 0 0 0 56 2 2 100 NA 1 0
6 2702 0 0 0 58 4 3 125 NA 1 2
I dati sono qui forniti nel formato long.
Contiamo il numero di partecipanti.
nlsy_math_long |>
distinct(id) |>
count() |>
print()
n
1 932
Con pivot_wider possiamo trasformare i dati in formato wide.
nlsy_math_wide <- nlsy_math_long |>
pivot_wider(names_from = grade, values_from = math)
nlsy_math_wide |>
head() |>
print()
# A tibble: 6 × 16
id female lb_wght anti_k1 occ age men spring anti `3` `5` `2`
<int> <int> <int> <int> <int> <int> <int> <int> <int> <int> <int> <int>
1 201 1 0 0 2 111 0 1 0 38 NA NA
2 201 1 0 0 3 135 1 1 0 NA 55 NA
3 303 1 0 1 2 121 0 1 2 NA NA 26
4 303 1 0 1 3 145 0 1 2 NA 33 NA
5 2702 0 0 0 2 100 NA 1 0 NA NA 56
6 2702 0 0 0 3 125 NA 1 2 NA NA NA
# ℹ 4 more variables: `4` <int>, `8` <int>, `6` <int>, `7` <int>
72.2. Visualizzazione dei dati longitudinali#
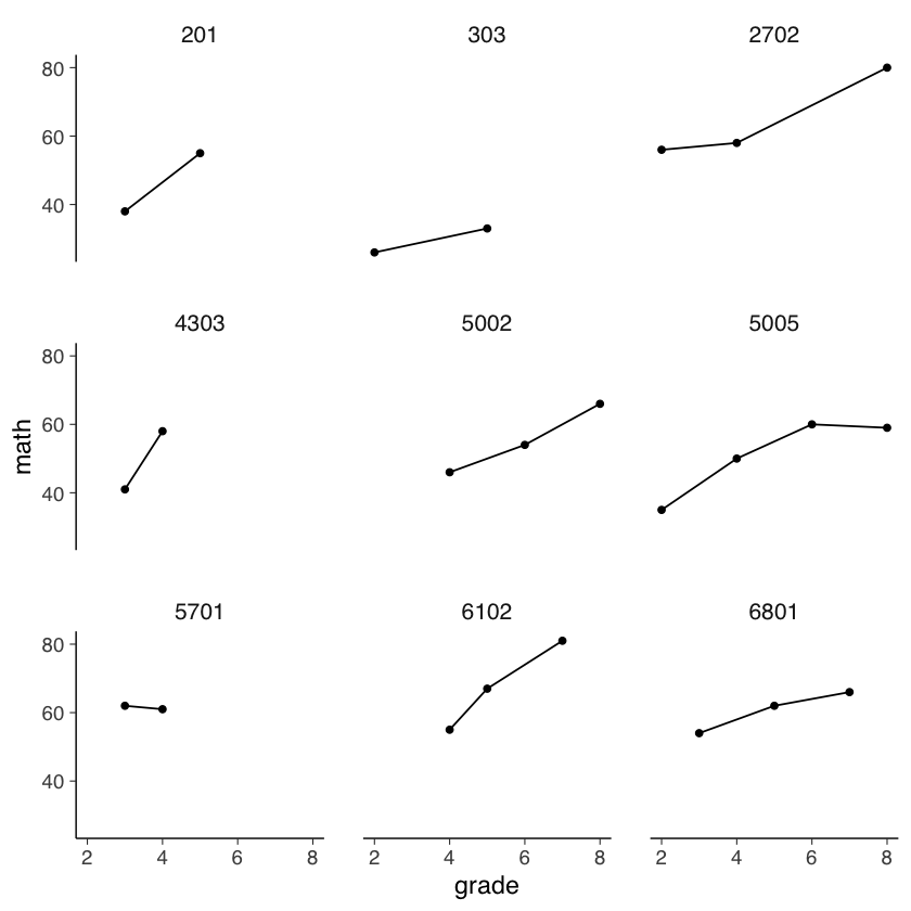
Come in qualsiasi analisi statistica, è importante esaminare attentamente i dati. Ciò include la produzione di sia riepiloghi quantitativi che visualizzazioni. Per fare un esempio di visualizzazione di dati longitudinali, esaminiamo il cambiamento nel rendimento in matematica dei bambini durante la scuola elementare e media utilizzando il set di dati NLSY-CYA [si veda Grimm et al. [GRE16]]. Da questi dati, selezioniamo solo il grado scolastico, il codice identificativo e il punteggio di matematica.
nlsy_math_only_long <- nlsy_math_long |>
dplyr::select(id, grade, math)
Le traiettorie di cambiamento intra-individuale possono essere prodotte nel modo seguente.
nlsy_math_long |> # data set
ggplot(aes(x = grade, y = math, group = id)) + # setting variables
geom_point(size = .5) + # adding points to plot
geom_line(alpha=0.2) + # adding lines to plot
# setting the x-axis with breaks and labels
scale_x_continuous(
limits = c(2, 8),
breaks = c(2, 3, 4, 5, 6, 7, 8),
name = "Grade at Testing"
) +
# setting the y-axis with limits breaks and labels
scale_y_continuous(
limits = c(10, 90),
breaks = c(10, 30, 50, 70, 90),
name = "PIAT Mathematics"
)
Esaminiamo le traiettorie di sviluppo dei primi 9 partecipanti.
72.3. Data screening#
Prima di adattare i modelli di crescita ai dati longitudinali, è essenziale effettuare una valutazione preliminare dei dati e acquisire informazioni di base sulle variabili da utilizzare nell’analisi. Una delle prime fasi di questa valutazione preliminare è l’ispezione della distribuzione dei punteggi per ogni variabile, utilizzando le principali statistiche descrittive univariate, come la media, la mediana, la varianza (deviazione standard), l’asimmetria, la curtosi, il minimo, il massimo, l’intervallo e il numero di osservazioni per ogni variabile, in base alla metrica del tempo scelta. Le statistiche descrittive bivariate, come le correlazioni/covarianze e le tabelle di frequenza bivariate per variabili nominali o ordinali, possono fornire informazioni sui possibili schemi e relazioni non lineari, nonché sui potenziali valori anomali e codici errati.
I dati longitudinali sono caratterizzati dall’ordinamento dei dati lungo una o più metriche del tempo (ad esempio, l’occasione di misurazione, l’età, la data, il tempo dall’evento, il numero di esposizioni, ecc.). È importante esaminare come la media, la varianza e il numero di casi disponibili cambiano attraverso le misure ripetute (ad esempio wght5, wght6, wght7). Va notato che la selezione della metrica del tempo influisce notevolmente sulla capacità di interpretare i risultati di qualsiasi modello di crescita specifico. Pertanto, durante la fase di selezione dei dati, è necessario considerare attentamente come varie proprietà dei dati longitudinali cambiano quando i dati sono organizzati in relazione a diverse metriche del tempo.
Per i dati dell’esempio, le statistiche descrittive possono essere ottenute nel modo seguente.
describe(nlsy_math_long) |>
print()
vars n mean sd median trimmed mad min max
id 1 2221 528449.15 327303.70 497403 515466.90 384144.63 201 1256601
female 2 2221 0.49 0.50 0 0.49 0.00 0 1
lb_wght 3 2221 0.08 0.27 0 0.00 0.00 0 1
anti_k1 4 2221 1.42 1.50 1 1.19 1.48 0 8
math 5 2221 46.12 12.80 46 46.22 11.86 12 81
grade 6 2221 4.51 1.77 4 4.44 1.48 2 8
occ 7 2221 2.84 0.79 3 2.77 1.48 2 5
age 8 2221 126.90 22.06 126 126.28 25.20 82 175
men 9 1074 0.19 0.40 0 0.12 0.00 0 1
spring 10 2221 0.65 0.48 1 0.69 0.00 0 1
anti 11 2170 1.58 1.54 1 1.38 1.48 0 8
range skew kurtosis se
id 1256400 0.30 -0.90 6945.07
female 1 0.03 -2.00 0.01
lb_wght 1 3.10 7.63 0.01
anti_k1 8 1.14 1.14 0.03
math 69 -0.03 -0.18 0.27
grade 6 0.26 -0.92 0.04
occ 3 0.55 -0.48 0.02
age 93 0.19 -0.91 0.47
men 1 1.54 0.37 0.01
spring 1 -0.63 -1.61 0.01
anti 8 0.98 0.64 0.03
Esaminiamo le statistiche descrittive bivariate.
cor(nlsy_math_long, use='pairwise.complete.obs') |>
round(2) |>
print()
id female lb_wght anti_k1 math grade occ age men spring anti
id 1.00 -0.01 -0.01 -0.02 -0.22 -0.01 0.01 -0.01 -0.02 -0.11 0.01
female -0.01 1.00 0.06 -0.09 -0.05 0.00 -0.02 -0.04 0.02 0.04 -0.07
lb_wght -0.01 0.06 1.00 0.03 -0.03 -0.02 -0.03 0.01 0.04 0.03 0.02
anti_k1 -0.02 -0.09 0.03 1.00 -0.08 -0.03 -0.04 -0.01 0.01 -0.01 0.52
math -0.22 -0.05 -0.03 -0.08 1.00 0.59 0.53 0.58 0.30 0.29 -0.05
grade -0.01 0.00 -0.02 -0.03 0.59 1.00 0.87 0.95 0.62 0.12 0.04
occ 0.01 -0.02 -0.03 -0.04 0.53 0.87 1.00 0.86 0.57 0.17 0.04
age -0.01 -0.04 0.01 -0.01 0.58 0.95 0.86 1.00 0.64 0.21 0.06
men -0.02 0.02 0.04 0.01 0.30 0.62 0.57 0.64 1.00 0.16 0.13
spring -0.11 0.04 0.03 -0.01 0.29 0.12 0.17 0.21 0.16 1.00 -0.01
anti 0.01 -0.07 0.02 0.52 -0.05 0.04 0.04 0.06 0.13 -0.01 1.00
Scomponiamo i punteggi nelle componenti tra i soggetti ed entro i soggetti.
Esaminiamo la distribuzione delle medie dei punteggi tra i soggetti.
tmp <- meanDecompose(math ~ id, data = nlsy_math_long)
plot(
testDistribution(
tmp[["math by id"]]$X,
extremevalues = "theoretical", ev.perc = .001
),
varlab = "Between Person Math Scores"
)
Esaminiamo la distribuzione dei punteggi entro i soggetti.
72.4. Attendibilità#
Per garantire la validità delle analisi, è necessario valutare l’affidabilità degli strumenti di misurazione utilizzati. Ciò è particolarmente importante in analisi longitudinali, in cui si studiano i cambiamenti all’interno di ciascun individuo nel tempo. Una delle metodologie utilizzate per valutare l’affidabilità degli strumenti di misurazione è il calcolo dell’indice di affidabilità \(\omega\) di McDonald per ogni momento temporale in cui si effettua la misurazione. Tuttavia, è importante sottolineare che questo indice non è equivalente alle misure di affidabilità degli indici di cambiamento longitudinale. Quest’ultima è una problematica complessa, soprattutto in disegni longitudinali intensivi, e costituisce un tema di discussione nella letteratura metodologica contemporanea.
Mentre l’affidabilità dei cambiamenti intra-individuali è difficile da stimare, l’affidabilità delle differenze inter-individuali può essere trovata facilmente. L’affidabilità del cambiamento inter-individuale è la proporzione di varianza nei punteggi osservati tra gli individui che può essere attribuita alla varianza nei punteggi veri piuttosto che alla varianza dell’errore:
Nel caso delle misure di differenza individuale ottenute tramite Intensive Longitudinal Designs (ILD), per valutare l’affidabilità delle medie intra-individuali \(\bar{y}\) (cioè la varianza “vera” delle medie tra i soggetti) si può utilizzare il coefficiente di correlazione intraclasse (ICC). In sostanza, l’ICC indica la proporzione di varianza totale che è attribuibile alle differenze tra gli individui rispetto alla varianza totale, che comprende sia le differenze tra gli individui che le differenze all’interno di ciascun individuo nel tempo. L’ICC viene calcolato come un rapporto tra varianze:
Il coefficiente di correlazione intraclasse (ICC) può essere stimato utilizzano un modello misto lineare con intercetta casuale che tiene conto della clusterizzazione dei dati, cioè del fatto che le osservazioni sono raggruppate in base ai soggetti. L’ICC viene calcolato come il rapporto tra la varianza tra le medie dei cluster di raggruppamento dei dati e la varianza totale, che comprende la varianza tra i cluster e la varianza all’interno dei cluster. In altre parole, l’ICC rappresenta la proporzione di varianza totale che è dovuta alle differenze tra i soggetti rispetto alla varianza totale delle misure ripetute. Questo indice è utile per valutare l’affidabilità delle misure ripetute e la loro utilità per lo studio delle differenze individuali.
Un esempio concreto può aiutare a capire meglio il concetto. Consideriamo nuovamente i dati nlsy_math_long, che rappresentano il cambiamento nel rendimento in matematica dei bambini tra i gradi scolastici 2 e 8.
Selezioniamo solo le variabili di interesse.
nlsy_math_only_long <- nlsy_math_long %>%
dplyr::select(id, grade, math)
nlsy_math_only_long |>
head()|>
print()
id grade math
1 201 3 38
2 201 5 55
3 303 2 26
4 303 5 33
5 2702 2 56
6 2702 4 58
Il coefficiente ICC può essere trovato, ad esempio, mediante la funzione iccMixed specificando un raggruppamento dei dati nei termini dei soggetti.
iccMixed(
dv = "math",
id = c("id"),
data = nlsy_math_long
) |>
print()
Var Sigma ICC
<char> <num> <num>
1: id 47.02036 0.2872289
2: Residual 116.68307 0.7127711
Per capire meglio il significato dell’ICC calcolato in precedenza per i dati nlsy_math_long, possiamo replicare lo stesso risultato utilizzando il modello misto lineare lmer, che tiene conto dell’effetto casuale del soggetto. In questo modo, possiamo avere una stima della varianza intraclasse e quindi dell’ICC.
m <- lmer(math ~ 1 + (1 | id), data = nlsy_math_only_long)
Il modello misto decompone la varianza totale in due componenti: la varianza che dipende dalla differenze tra le medie di ciascun soggetto (tra i soggetti, o varianza delle intercette individuali, \(\tau_{00}\)) e la varianza che dipende dalle variazioni di ciascun soggetto attorno alla sua media.
Calcoliamo la varianza totale dei punteggi di matematica.
var(nlsy_math_only_long$math) |>
print()
[1] 163.8379
Esaminiamo ora la scomposizione della varianza eseguita dal modello misto. Si noti che la somma delle due componenti è uguale alla varianza totale.
VarCorr(m) |>
print()
Groups Name Std.Dev.
id (Intercept) 6.8571
Residual 10.8020
6.8571^2 + 10.8020^2
Il coefficiente ICC è data dal rapporto tra la varianza attribuibile alla variazione tra le medie dei soggetti e la varianza totale.
6.8571^2 / (6.8571^2 + 10.8020^2)
Nel contesto dei modelli di crescita latente (LGM), l’indice di correlazione intraclasse (ICC) è utilizzato per stimare l’affidabilità delle medie intra-individuali dei fattori latenti. Tuttavia, l’ICC non è adatto per valutare l’affidabilità delle variazioni intra-individuali nelle traiettorie di sviluppo. Per quest’ultimo scopo, sono necessarie misure di affidabilità alternative, le quali presentano alcune limitazioni pratiche.
Una delle possibili misure è il coefficiente di affidabilità test-retest, utilizzabile per stimare l’affidabilità intra-individuale delle traiettorie di sviluppo osservate in due momenti temporali distinti. Questo metodo, tuttavia, presuppone che i punteggi veri rimangano stabili nel tempo, il che non sempre corrisponde alla realtà dei fenomeni in studio.
Un’altra opzione è l’uso delle forme parallele dei test, che possono fornire una misura dell’affidabilità delle traiettorie intra-individuali. Tuttavia, la disponibilità di forme parallele affidabili è spesso limitata, rendendo questo approccio meno praticabile.
Infine, per stimare l’affidabilità della componente sistematica della variazione intra-individuale nelle traiettorie di sviluppo, sono necessari metodi di stima specifici. Questi metodi sono ancora al centro di un attivo dibattito nella letteratura metodologica, riflettendo la complessità e le sfide associate alla loro implementazione e interpretazione.
Prima di descrivere in dettaglio i modelli LGM, consideramo l’analisi dei dati longitudinali con i modelli misti. In R, queste analisi vengono svolte mediante la funzione lmer del pacchetto lme4.
72.4.1. Analisi con lmer#
La funzione lmer() accetta i seguenti argomenti:
formula: una formula lineare a due lati che descrive sia gli effetti fissi che gli effetti casuali del modello, con la risposta a sinistra dell’operatore
~e i predittori e gli effetti casuali sulla destra dell’operatore~.data: Un data.frame, che deve essere nel cosiddetto formato “lungo”, con una singola riga per osservazione.
Iniziamo a descrivere la sintassi che consente la specificazione di un modello misto. Gli effetti fissi sono specificati come segue.
Formula |
Description |
|---|---|
|
main effects of a and b (and no interaction) |
|
only interaction of a and b (and no main effects) |
|
main effects and interaction of a and b (expands to: a + b + a:b) |
|
main effects and two-way interactions, but no three-way interaction (expands to: |
|
all main effects and pairwise interactions between c and a or b (expands to: |
|
0 suppresses the intercept resulting in a model that has one parameter per level of a (identical to: |
Gli effetti random vengono aggiunti alla formula tra parentesi (). All’interno di queste parentesi si fornisce sul lato sinistro di un segno condizionale | la specifica degli effetti casuali relativi alle pendenze individuali da includere nel modello. Sul lato destro di questo segno condizionale, si specifica il fattore di raggruppamento o i fattori di raggruppamento da cui dipendono questi effetti casuali. I fattori di raggruppamento devono essere di classe factor (cioè non possono essere variabili numeriche).
Gli effetti random vengono specificati come segue.
Formula |
Description |
|---|---|
|
random intercepts for unique level of the factor s |
|
random intercepts for each unique level of s and for each unique level of i |
|
random intercepts for factor s and i, where the random effects for i are nested in s. This expands to |
|
random intercepts and random slopes for a, for each level of s. Correlations between the intercept and slope effects are also estimated – identical to |
|
random intercepts and slopes for a, b, and the a:b interaction, for each level of s. Correlations between all the random effects are estimated. |
|
random slopes for a for each level of s, but no random intercepts |
|
random intercepts and random slopes for a, for each level of s, but no correlations between the random effects (i.e. they are set to 0). This expands to: |
72.4.2. Formulazione del modello#
In precedenza abbiamo descritto la variazione media tra gli individui mediante un modello misto ad intercetta casuale. È possibile estendere questo modello a casi più complessi, per esempio quello che assume una retta di regressione con pendenza ed intercetta diversa per ciascun soggetto. Per i dati nlsy_math_long possiamo specificare un tale modello in lmer usando la sintassi seguente.
m <- lmer(math ~ grade + (1 + grade | id), data = nlsy_math_long)
In un modello misto, i coefficienti delle rette di regressione di ciascun soggetto sono considerati come componenti casuali di una distribuzione di coefficienti relativi all’intercetta e alla pendenza complessive del gruppo. Questi coefficienti casuali possono essere modellati specificando una componente casuale (1 + grado | id). In questo tipo di modello, esiste una correlazione tra i parametri delle intercette e quelli delle pendenze individuali. Ciò significa che le componenti di varianza attribuibili ai vari effetti del modello (fissi e casuali) non sono più indipendenti e la varianza totale non può essere scomposta in componenti indipendenti.
summary(m)
Linear mixed model fit by REML ['lmerMod']
Formula: math ~ grade + (1 + grade | id)
Data: nlsy_math_long
REML criterion at convergence: 15941
Scaled residuals:
Min 1Q Median 3Q Max
-3.02728 -0.52567 0.00174 0.54025 2.54129
Random effects:
Groups Name Variance Std.Dev. Corr
id (Intercept) 68.4055 8.2708
grade 0.7392 0.8597 -0.24
Residual 36.2364 6.0197
Number of obs: 2221, groups: id, 932
Fixed effects:
Estimate Std. Error t value
(Intercept) 26.58805 0.47203 56.33
grade 4.33956 0.08741 49.65
Correlation of Fixed Effects:
(Intr)
grade -0.771
Per estrarre le componenti di varianza di un modello misto, è possibile utilizzare le funzioni fornite dal pacchetto insight. Ad esempio, nel caso dell’esempio presentato, i risultati possono essere ottenuti attraverso l’oggetto creato dalla funzione lmer.
get_variance(m) |>
print()
$var.fixed
[1] 58.94602
$var.random
[1] 70.66767
$var.residual
[1] 36.23643
$var.distribution
[1] 36.23643
$var.dispersion
[1] 0
$var.intercept
id
68.40554
$var.slope
id.grade
0.7391598
$cor.slope_intercept
id
-0.2353174
Una descrizione visiva della varianza delle varie componenti del modello può essere ottenuta mediante la funzione modelDiagnostics del pacchetto JWileymisc.
md <- modelDiagnostics(m, ev.perc = .001)
plot(md, ask = FALSE, ncol = 2, nrow = 3)
Una descrizione dei parametri del modello può essere ottenuta nel modo seguente.
mt <- modelTest(m)
names(mt)
APAStyler(mt) |>
print()
Parameters and CIs are based on REML,
but modelTests requires ML not REML fit for comparisons,
and these are used in effect sizes. Refitting.
- 'FixedEffects'
- 'RandomEffects'
- 'EffectSizes'
- 'OverallModel'
Term Est Type
<char> <char> <char>
1: (Intercept) 26.59*** [25.66, 27.51] Fixed Effects
2: grade 4.34*** [ 4.17, 4.51] Fixed Effects
3: cor_grade.(Intercept)|id -0.24 Random Effects
4: sd_(Intercept)|id 8.27 Random Effects
5: sd_grade|id 0.86 Random Effects
6: sigma 6.02 Random Effects
7: Model DF 6 Overall Model
8: N (Groups) id (932) Overall Model
9: N (Observations) 2221 Overall Model
10: logLik -7968.69 Overall Model
11: AIC 15949.39 Overall Model
12: BIC 15983.62 Overall Model
13: Marginal R2 0.36 Overall Model
14: Marginal F2 0.55 Overall Model
15: Conditional R2 0.78 Overall Model
16: Conditional F2 3.57 Overall Model
17: grade (Fixed + Random) 0.55/2.26, p < .001 Effect Sizes
18: grade (Random) 0.01/0.09, p = .002 Effect Sizes
La varianza spiegata dal modello viene ottenuta nel modo seguente.
modelPerformance(m) |>
print()
$Performance
Model Estimator N_Obs N_Groups AIC BIC LL LLDF Sigma
<char> <char> <num> <char> <num> <num> <num> <num> <num>
1: merMod REML 2221 id (932) 15952.99 15987.22 -7970.494 6 6.01967
MarginalR2 ConditionalR2 MarginalF2 ConditionalF2
<num> <num> <num> <num>
1: 0.3553142 0.781476 0.5511433 3.576157
attr(,"class")
[1] "modelPerformance.merMod" "modelPerformance"
Le metriche rilevanti in questo output sono il \( R^2 \) marginale e condizionale e il \( F^2 \) marginale e condizionale. Questi indici offrono diverse prospettive sulla varianza spiegata dal modello. Ecco una spiegazione dettagliata di ciascuno:
72.4.3. \( R^2 \) Marginale (Marginal \( R^2 \))#
Definizione: Il \( R^2 \) marginale quantifica la proporzione di varianza spiegata dalle variabili fisse del modello, ignorando gli effetti casuali. Questo indice mostra quanto bene le variabili fisse, nel loro complesso, sono in grado di spiegare la varianza nelle osservazioni.
Valore nell’output: 0.3553142, che indica che il 35.53% della varianza totale è spiegata dalle sole variabili fisse.
72.4.4. \( R^2 \) Condizionale (Conditional \( R^2 \))#
Definizione: Il \( R^2 \) condizionale considera sia le variabili fisse sia gli effetti casuali nel modello. Mostra la proporzione totale di varianza spiegata dal modello intero.
Valore nell’output: 0.781476, che indica che il 78.15% della varianza totale è spiegata considerando sia le variabili fisse che gli effetti casuali.
72.4.5. \( F^2 \) Marginale (Marginal \( F^2 \))#
Definizione: Il \( F^2 \) marginale è un’altra misura di effetto del modello e si calcola come il rapporto tra la varianza spiegata dalle variabili fisse e la varianza non spiegata (ossia \( \frac{R^2}{1 - R^2} \)). Fornisce una misura di quanto forte sia l’impatto delle variabili fisse rispetto alla varianza residua.
Valore nell’output: 0.5511433, che riflette la forza relativa delle variabili fisse oltre la varianza casuale.
72.4.6. \( F^2 \) Condizionale (Conditional \( F^2 \))#
Definizione: Similmente al \( F^2 \) marginale, il \( F^2 \) condizionale è il rapporto tra la varianza spiegata dal modello completo (variabili fisse più effetti casuali) e la varianza non spiegata.
Valore nell’output: 3.576157, indicando una forte influenza combinata delle variabili fisse e degli effetti casuali rispetto alla varianza non spiegata.
Questi indici sono utili per valutare quanto bene il modello si adatta ai dati e per confrontare la performance tra diversi modelli.




